有源滤波器选型方法
谐波电流的计算涉及到诸多因素,常规项目谐波电流的计算,可以使用电能质量分析仪。对于新建项目,设计阶段电气设计人员并不能获取足够的电气设备谐波数据;鉴于此,能容电力根据对众多行业的测试及经验总结,得到经验公式供电气设计人员参考。
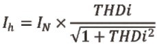
通过如下的经验公式,可以满足设计要求;根据计算出来的谐波电流来选型ZRYYLB;
1.集中治理
注意:
上式适用于在变压器二次侧进行集中治理。
公式参数介绍:
S:变压器额定容量;U:变压器二次侧额定电压;
I: 谐波电流;THDi:电流总谐波畸变率。
K:负荷率;
表示变压器的负荷率,变压器设计时的取值范围0.6~0.85。
THDi是上式中唯一的变量,它的取值范围视行业的不同、各行业负载的不同而定。
2.就地治理
上式是针对在变压器二次侧对谐波进行集中治理的情况而定,在这里,推荐设计人员 在变压器二次侧进行治理。若配电中存在较大功率的谐波源负载,亦可以在负载的输入端进行就地治理。可以使用如下公式2进行计算。

